数值分析 笔记 4

线性方程组的迭代解法

迭代解法指的是通过构造一个向量序列来逼近准确解,类似不动点迭代法,为了保证迭代的计算量较小,则:

x(k+1)=Bx(k)+f\boldsymbol{x}^{(k + 1)} = \boldsymbol{B}\boldsymbol{x}^{(k)} + \boldsymbol{f}

对于 Ax=b\boldsymbol{Ax} = \boldsymbol{b},使用矩阵分裂法,令 A=MN\boldsymbol{A} = \boldsymbol{M} - \boldsymbol{N},则可以化简为:

x=M1Nx+M1b\boldsymbol{x} = \boldsymbol{M}^{-1}\boldsymbol{Nx} + \boldsymbol{M}^{-1}\boldsymbol{b}

这也就是一个迭代表达式,因此分裂需要满足:

  • M\boldsymbol{M}非奇异,且解方程快
  • 收敛快

Jacobi 迭代法

D=diag(A)\boldsymbol{D} = \mathrm{diag}(\boldsymbol{A}),则令M=D\boldsymbol{M} = \boldsymbol{D}N=DA\boldsymbol{N} = \boldsymbol{D - A}

迭代式为:

xk+1=D1(DA)x+D1b\boldsymbol{x}^{k + 1} = \boldsymbol{D}^{-1}(\boldsymbol{D - A})\boldsymbol{x} + \boldsymbol{D}^{-1}\boldsymbol{b}

由于 D1\boldsymbol{D}^{-1} 是方便计算的,只用做 nn 次除法即可,因此每次迭代的计算量相当于是做一次 MV 运算,如果是 SpMV,则计算量降为 O(nnz(A))O(\mathrm{nnz}(\boldsymbol{A}))

算法为:

1
2
3
4
while not stop:
y = x
for i in range(1, n + 1):
x[i] = (b[i] - sum(1, i, a[i][j] * y[j]) - sum(i + 1, n + 1, a[i][j] * y[j])) / a[i][i]

Gauss-Seidel 迭代法

与 Jacobi 迭代法很类似,不同的是取 M\boldsymbol{M}A\boldsymbol{A} 的下三角子阵而不是对角阵,但这时候对迭代法的顺序有要求,当求出 xi(k+1)\boldsymbol{x}^{(k + 1)}_{i} 之后,需要用它直接求 xi+1(k+1)\boldsymbol{x}^{(k + 1)}_{i + 1}

因此对应算法为:

1
2
3
while not stop:
for i in range(1, n + 1):
x[i] = (b[i] - sum(1, i, a[i][j] * x[j]) - sum(i + 1, n + 1, a[i][j] * x[j])) / a[i][i]

当然也可以逆向计算,从 nn 算到 11

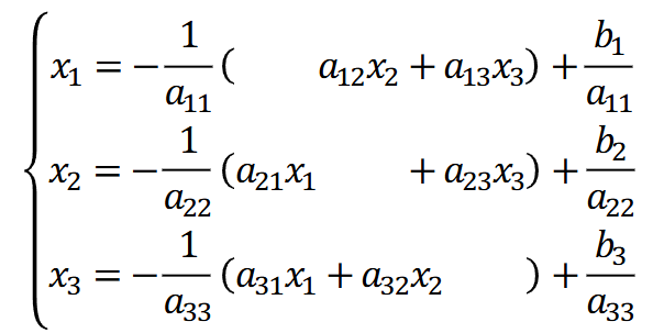
事实上,上述的逻辑其实是推到的逻辑的逆向,我们是先给出分裂法对应的矩阵,之后再给出算法,但其实这不太符合逻辑,我们应该是先给出迭代的算法,再推导出其分裂法的矩阵,并据此分析其收敛性等性质

例如,Jacobi 和 GS 的算法来源应该是下面两张图:

Jacobi原始迭代式
Jacobi原始迭代式
Gauss-Seidel原始迭代式
Gauss-Seidel原始迭代式

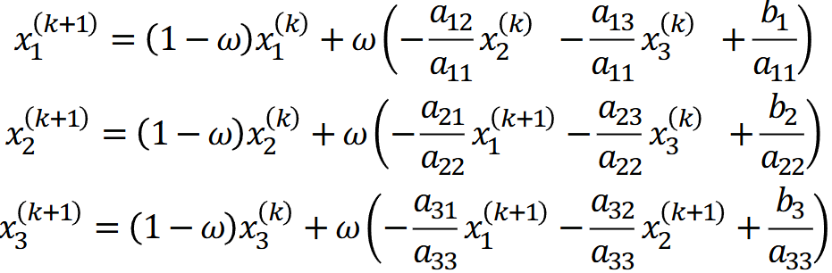
SOR 迭代法

在 GS 迭代法的基础上增加了松弛因子 ω\omega,计算完 xi(k+1)x_{i}^{(k + 1)} 之后将其与 xi(k)x_{i}^{(k)} 加权平均得到最终结果,具体来说:

SOR原始迭代式
SOR原始迭代式

对应的矩阵计算为:

x(k+1)=(1ω)x(k)+ωD1[L~x(k+1)+U~x(k)+b]\boldsymbol{x}^{(k + 1)} = (1 - \omega) \boldsymbol{x}^{(k)} + \omega\boldsymbol{D}^{-1}\Big[\tilde{\boldsymbol{L}}\boldsymbol{x}^{(k + 1)} + \tilde{\boldsymbol{U}}\boldsymbol{x}^{(k)} + \boldsymbol{b} \Big]

对应分裂法,M=1ωDL~\boldsymbol{M} = \dfrac{1}{\omega}\boldsymbol{D} - \tilde{L},其中:

L~={aiji>j0othersU~={aiji<j0others\begin{align*} \tilde{\boldsymbol{L}} = \begin{cases} - a_{ij} & i > j \\ 0 & \text{others} \end{cases} \\ \tilde{\boldsymbol{U}} = \begin{cases} - a_{ij} & i < j \\ 0 & \text{others} \end{cases} \end{align*}

因此对应算法为:

1
2
3
while not stop:
for i in range(1, n + 1):
x[i] = (1 - ω)* x[i] + ω * (b[i] - sum(1, i, a[i][j] * x[j]) - sum(i + 1, n + 1, a[i][j] * x[j])) / a[i][i]

收敛性分析

类似非线性方程求解的判据,我们定义:

e(k)=x(k)x\boldsymbol{e}^{(k)} = \boldsymbol{x}^{(k)} - \boldsymbol{x}^{*}

则容易得到

e(k+1)=Be(k)e(k)=Bke(0)\boldsymbol{e}^{(k + 1)} = \boldsymbol{B}\boldsymbol{e}^{(k)} \Rightarrow \boldsymbol{e}^{(k)} = \boldsymbol{B}^{k}\boldsymbol{e}^{(0)}

因此对于任意一个初始误差,如果要保证迭代法收敛,则需要保证 limkBk=O\lim\limits_{k \to \infty}\boldsymbol{B}^{k} = \boldsymbol{O}

对于矩阵的极限,我们有如下定理:

limkA(k)=AxlimkA(k)x=Ax\lim\limits_{k\to\infty}\boldsymbol{A}^{(k)} = \boldsymbol{A} \Leftrightarrow \forall \boldsymbol{x} \quad \lim\limits_{k\to\infty}\boldsymbol{A}^{(k)}\boldsymbol{x} = \boldsymbol{Ax}

定义矩阵的谱半径为ρ(A)=maxλ(A)\rho(\boldsymbol{A}) = \max |\lambda(\boldsymbol{A})|,使用谱分解或 Jordan 分解可以证明,limkBk=O\lim\limits_{k \to \infty}\boldsymbol{B}^{k} = \boldsymbol{O} 等价与 ρ(B)<1\rho(\boldsymbol{B}) < 1

正式给出定理:

若:

x(k+1)=Bx(k)+f\boldsymbol{x}^{(k + 1)} = \boldsymbol{B}\boldsymbol{x}^{(k)} + \boldsymbol{f}

IB\boldsymbol{I - B} 非奇异,则迭代法对于任意初始值收敛的充要条件是 ρ(B)<1\rho(\boldsymbol{B}) < 1,且非奇异保证了收敛值是唯一解

类比之前对收敛阶的定义,可以证明当 B\boldsymbol{B} 可对角化的时候,该迭代法 1 阶收敛,且常数 c=ρ(B)c = \rho(\boldsymbol{B})

对于上述的三种迭代法,有充分条件:

对于 Jacobi 的迭代矩阵 B=D1(DA)\boldsymbol{B} = \boldsymbol{D}^{-1}\boldsymbol{(D - A)},若 B1<1||\boldsymbol{B}||_{1} < 1B<1||\boldsymbol{B}||_{\infty} < 1,则 Jacobi 和 G-S 收敛

对于一个矩阵 A\boldsymbol{A},如果存在排列阵 PP,使得:

PTAP=[A11A120A22]\boldsymbol{P}^{T}\boldsymbol{AP} = \begin{bmatrix} \boldsymbol{A}_{11} & \boldsymbol{A}_{12} \\ \boldsymbol{0} & \boldsymbol{A}_{22} \end{bmatrix}

其中 A11\boldsymbol{A}_{11}A22\boldsymbol{A}_{22} 是方阵,则称 A\boldsymbol{A} 是可约矩阵

给出一些针对系数矩阵是对角占优和正定阵时,收敛的条件:

  1. 严格对角占优矩阵、不可约的弱对角占优矩阵,都是非奇异的
  2. 对于 1 中的系数矩阵,其 Jacobi 和 G-S 都收敛,并且若 0<ω10 < \omega \leq 1,则 SOR 也收敛
  3. 对于系数为对称正定矩阵,Jacobi在对角元全正,且 2DA2\boldsymbol{D} - \boldsymbol{A} 也正定的时候收敛,G-S 一定收敛,并且若 0<ω<20 < \omega < 2,则 SOR 也收敛
  4. SOR 收敛的必要条件是 0<ω<20 < \omega < 2

最速下降法

将解线性方程组转化为在高维空间中求函数极值的问题,例如对于函数:

φ(x)=12xTAxbTx\varphi(\boldsymbol{x}) = \frac{1}{2}\boldsymbol{x}^{T}\boldsymbol{Ax} - \boldsymbol{b}^{T}\boldsymbol{x}

可以证明其极值点就是 Ax=b\boldsymbol{Ax = b} 的解,如果 A\boldsymbol{A} 是正定矩阵,则这个极值点一定是最小值

求极值最简单的方法是最速下降法,也就是梯度下降,每一步沿着负梯度方向前进,步长保证得到的结果最小,对于上述的 φ\varphi,我们有:

φ(x(k))=Ax(k)b=r(k)\nabla\varphi(\boldsymbol{x}^{(k)}) = \boldsymbol{Ax}^{(k)} - \boldsymbol{b} = -\boldsymbol{r}^{(k)}

则步长为:

αk=(r(k))Tr(k)(r(k))TAr(k)\alpha_{k} = \frac{(\boldsymbol{r}^{(k)})^{T}\boldsymbol{r}^{(k)}}{(\boldsymbol{r}^{(k)})^{T}\boldsymbol{Ar}^{(k)}}

每次迭代为:

x(k+1)=x(k)+αkr(k)r(k+1)=r(k)αkAr(k)\begin{align} \boldsymbol{x}^{(k + 1)} &= \boldsymbol{x}^{(k)} + \alpha_{k}\boldsymbol{r}^{(k)} \\ \boldsymbol{r}^{(k + 1)} &= \boldsymbol{r}^{(k)} - \alpha_{k}\boldsymbol{Ar}^{(k)} \end{align}

等式 (2) 是因为 Δr=Δ(bAx)=AΔx=αAr\Delta\boldsymbol{r} = \Delta(\boldsymbol{b - Ax}) = -\boldsymbol{A}\Delta\boldsymbol{x} = -\alpha\boldsymbol{Ar}

每步迭代的计算量是一次 MV,与 SOR 相同

由于 φ\varphi 是凸二次函数,因此一定收敛,对于一般的优化问题,可以扩展为随机梯度下降法

但是梯度下降的收敛速度很慢,并且可能会遇到局部最优解

共轭梯度法

不沿着最速下降方向,沿着最速下降方向和上一步搜索方向张成的平面移动,设搜索方向为 p(k)\boldsymbol{p}^{(k)},则:

βk1=(r(k))TAp(k1)(p(k1))TAp(k1)p(k)=r(k)+βk1p(k1)αk=(r(k))Tp(k)(p(k))TAp(k)\begin{align*} \beta_{k - 1} &= -\frac{(\boldsymbol{r}^{(k)})^{T}\boldsymbol{Ap}^{(k - 1)}}{(\boldsymbol{p}^{(k - 1)})^{T}\boldsymbol{Ap}^{(k - 1)}} \\ \boldsymbol{p}^{(k)} &= \boldsymbol{r}^{(k)} + \beta_{k - 1}\boldsymbol{p}^{(k - 1)} \\ \alpha_{k} &= \frac{(\boldsymbol{r}^{(k)})^{T}\boldsymbol{p}^{(k)}}{(\boldsymbol{p}^{(k)})^{T}\boldsymbol{Ap}^{(k)}} \end{align*}

每轮迭代需要一次 MV 两次 VV,但是可以保证如果收敛,则收敛步数不大于 nn

对于病态矩阵,舍入误差严重,可能收敛很慢甚至不收敛,因此可以做一些处理,例如对于病态矩阵 A\boldsymbol{A}

Ax=bM1Ax=M1b\boldsymbol{Ax = b} \Leftrightarrow \boldsymbol{M}^{-1}\boldsymbol{Ax} = \boldsymbol{M}^{-1}\boldsymbol{b}

如果想保证系数矩阵是对称正定的,则取 M=LLT\boldsymbol{M} = \boldsymbol{LL}^{T} 是对称正定的,并且令 y=LTx\boldsymbol{y} = \boldsymbol{L}^{T}\boldsymbol{x},则:

Ax=bL1ALTy=L1b\boldsymbol{Ax = b} \Leftrightarrow \boldsymbol{L}^{-1}\boldsymbol{A}\boldsymbol{L}^{-T}\boldsymbol{y} = \boldsymbol{L}^{-1}\boldsymbol{b}

这样 L1ALT\boldsymbol{L}^{-1}\boldsymbol{A}\boldsymbol{L}^{T} 就是对称正定的


© 2024 本网站由 Ywang22 使用 Stellar主题 创建
总访问 次 | 本页访问
共发表 82 篇 Blog(s) · 总计 192.9k 字