信号处理原理 笔记 4

信号的采样

采样:每隔一段时间(等距)在模拟信号波形上抽取一个幅度值,称之为采样

抽样的时间间隔称为采样周期TsT_{s},倒数称为采样频率fs=1/Tsf_{s} = 1/T_{s},采样角频率(不会混淆的情况下也可称为采样频率)为ωs=2π/Ts\omega_{s} = 2\pi / T_{s}

采样的数学模型

在时域:

xp(t)=x(t)p(t)x_{p}(t) = x(t)p(t)

在频域:

Xp(ω)=12πX(ω)P(ω)X_{p}(\omega) = \frac{1}{2\pi}X(\omega)*P(\omega)

其中p(t)p(t)为我们的采样公式,理想采样为冲激串采样:

p(t)=n=δ(tnTs)p(t) = \sum\limits_{n=-\infty}^{\infty}\delta(t-nT_{s})

这种情况下:

xp(t)=n=x(nTs)δ(tnTs)x_{p}(t) = \sum\limits_{n=-\infty}^{\infty}x(nT_{s})\delta(t-nT_{s})

此时p(t)p(t)的FT为:

p(t)P(ω)=2πTsn=δ(ωnωs)p(t)\Leftrightarrow P(\omega) = \frac{2\pi}{T_{s}}\sum\limits_{n=-\infty}^{\infty}\delta(\omega-n\omega_{s})

于是我们有:

Xp(ω)=1Tsn=X(ωkωs)X_{p}(\omega) = \frac{1}{T_{s}}\sum\limits_{n=-\infty}^{\infty}X(\omega - k\omega_{s})

也即在时域上对时间信号进行理想采样相当于在频域上对连续时间信号的频谱以ωs\boldsymbol{\omega_{s}}为周期做周期延拓,并对幅度除以相应系数

我们来证明上述公式中最重要的一步:

p(t)P(ω)=2πTsn=δ(ωnωs)p(t)\Leftrightarrow P(\omega) = \frac{2\pi}{T_{s}}\sum\limits_{n=-\infty}^{\infty}\delta(\omega-n\omega_{s})

首先直接套用定义:

P(ω)=F[p(t)]=p(t)ejωtdt=n=ejωnT\begin{align*} P(\omega) = \mathscr{F}[p(t)] &= \int_{-\infty}^{\infty}p(t)e^{-j\omega t}dt \\ &= \sum\limits_{n=-\infty}^{\infty}e^{-j\omega nT}\end{align*}

这个式子并不友好,而且在后续卷积的过程中也没法进行化简,于是我们采用另外一种方法,首先对p(t)p(t)进行FS,系数:

Fn=1TsTs/2Ts/2p(t)ejnωstdt=1Tsk=Ts/2Ts/2δ(tkTs)ejnωstdt=1TsTs/2Ts/2δ(t)ejnωstdt=1Ts\begin{align*} F_{n} &= \frac{1}{T_{s}}\int_{-T_{s}/2}^{T_{s}/2}p(t)e^{-jn\omega_{s}t}dt \\ &= \frac{1}{T_{s}}\sum\limits_{k=-\infty}^{\infty}\int_{-T_{s}/2}^{T_{s}/2}\delta(t-kT_{s})e^{-jn\omega_{s}t}dt \\ &= \frac{1}{T_{s}}\int_{-T_{s}/2}^{T_{s}/2}\delta(t)e^{-jn\omega_{s}t}dt \\ &= \frac{1}{T_{s}}\end{align*}

因此有:

p(t)=1Tsn=ejnωstp(t) = \frac{1}{T_{s}}\sum\limits_{n=-\infty}^{\infty}e^{jn\omega_{s}t}

此时我们再利用FT的线性可得:

P(ω)=F[p(t)]=1Tsn=F[ejnωst]=2πTsn=δ(ωnωs)\begin{align*} P(\omega) = \mathscr{F}[p(t)] &= \frac{1}{T_{s}}\sum\limits_{n=-\infty}^{\infty}\mathscr{F}[e^{jn\omega_{s}t}] \\ &= \frac{2\pi}{T_{s}}\sum\limits_{n=-\infty}^{\infty}\delta(\omega - n\omega_{s})\end{align*}

采样示意图

时钟域上的采样代表频率域上的周期延拓
时钟域上的采样代表频率域上的周期延拓

当上图中,ωm>ωs\omega_{m} > \omega_{s}时会发生混叠,也即延拓之后会发生相互重叠的现象,因此我们要想从Xp(jω)X_{p}(j\omega)中不失真地分离出X(jω)X(j\omega),则需要满足:

  1. x(t)x(t)是带限的,最高频率分量为ωM\omega_{M}
  2. 采样周期不能是任意的,必须保证采样频率ωs2ωM\omega_{s} \geq 2\omega_{M}

此时可以用理想低通滤波器Xp(jω)X_{p}(j\omega)中不失真地分离出X(jω)X(j\omega)

我们有Nyquist采样定理:

对带限于最高频率ωM\omega_{M}对连续时间信号x(t)x(t),如果以ωs>2ωM\omega_{s} > 2\omega_{M}的频率进行理想采样,则x(t)x(t)可以唯一由其样本x(nT)x(nT)来确定

而在实际应用中,由于理想滤波器是不可实现的,因此要求ωs>2ωM\omega_{s} > 2\omega_{M}

内插

内插是由样本值重建某一函数的过程

理想内插

以理想低通滤波器(频域矩形脉冲)的单位冲激响应(定义为函数的IFT)作为内插函数

设内插函数为h(t)=F1[Gωs(ω)]=1TsSa(πtTs)h(t) = \mathscr{F}^{-1}[G_{\omega_{s}}(\omega)] = \dfrac{1}{T_{s}}\mathrm{Sa}(\dfrac{\pi t}{T_{s}})

则有:

x(t)=xp(t)h(t)=n=x(nT)δ(tnT)h(t)=n=x(nT)h(tnT)\begin{align*} x(t) = x_{p}(t) * h(t) &= \sum\limits_{n=-\infty}^{\infty}x(nT)\delta(t-nT)*h(t) \\ &= \sum\limits_{n=-\infty}^{\infty}x(nT)h(t-nT) \end{align*}

也即可以通过采样值xp(t)x_{p}(t)和Sa函数来恢复原有信号,并且恢复效果是很理想的

时域为Sa函数,频域为矩形脉冲,也即单位冲激响应为其IFT

理想内插函数的单位冲激响应
理想内插函数的单位冲激响应

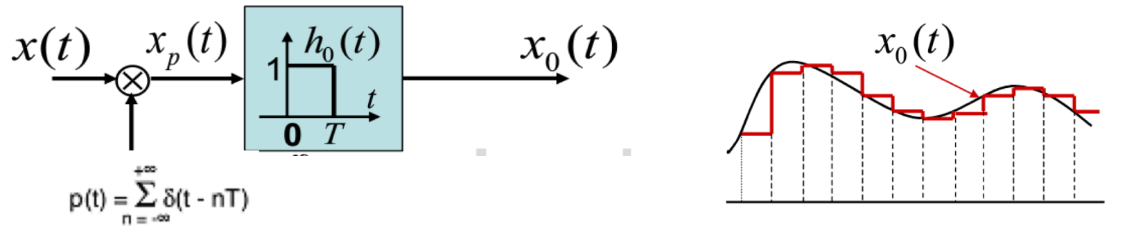
零阶保持内插

内插函数为矩形脉冲,对应的频域为Sa函数

所得的结果是采样后的信号在x轴上向正方向扩展,到达下一个采样信号的时候直接跳变

零阶保持内插
零阶保持内插

一阶保持内插

内插函数为脉高为1的三角脉冲

所得到的结果是通过一次函数连接相邻的采样点

一阶保持内插
一阶保持内插

欠采样信号的恢复

当不满足采样定理的时候,就会出现频谱混叠的情况,此时有一些结论:

  1. 频谱混叠的情况下,时域信号变了,但是抽样点处取值不变,也即通过理想内插也得不到原信号,但抽样点处的取值不变
发生频谱混叠的时候理想内插也得不到正确值
发生频谱混叠的时候理想内插也得不到正确值
  1. 工程应用时,如果采样频率ωs=2ωM\omega_{s} = 2\omega_{M}将不足以恢复原信号,例如x(t)=cos(ω0t+φ)x(t) = \cos(\omega_{0}t+\varphi)ωs=2ω0\omega_{s} = 2\omega_{0}的时候可能被恢复成x1(t)=cosφcos(ω0t)x_{1}(t) = \cos\varphi\cos(\omega_{0}t)

频域采样

在频域利用P(ω)=k=δ(ωkω0)P(\omega) = \sum\limits_{k=-\infty}^{\infty}\delta(\omega - k\omega_{0})进行采样得到Xp(ω)X_{p}(\omega)

在频域采样的结果
在频域采样的结果

可以看出,在频域以ω0\omega_{0}采样相当于在时域将信号以2πω0\boldsymbol{\frac{2\pi}{\omega_{0}}}为周期无限延拓

如果想在时域截取原信号,只需要利用矩形窗信号进行读取

w(t)={ω0tπω00t>πω0\begin{align*} w(t) = \begin{cases} \omega_{0} & |t| \leq \frac{\pi}{\omega_{0}} \\ 0 & |t| > \frac{\pi}{\omega_{0}} \end{cases} \end{align*}

而在频域截取原信号需要内插,内插函数为W(jω)=2πsinc(ω/ω0)W(j\omega) = 2\pi\mathrm{sinc}(\omega/\omega_{0})

即:

X(jω)=12πXp(jω)W(jω)=k=X(kω0)sinc(ωkω0ω0)\begin{align*} X(j\omega) &= \frac{1}{2\pi}X_{p}(j\omega)*W(j\omega) \\ &= \sum\limits_{k=-\infty}^{\infty}X(k\omega_{0})\mathrm{sinc}(\frac{\omega-k\omega_{0}}{\omega_{0}}) \end{align*}


© 2024 本网站由 Ywang22 使用 Stellar主题 创建
总访问 次 | 本页访问
共发表 82 篇 Blog(s) · 总计 192.9k 字